Hallo Stephan,
... dann ist es also noch kein offizieller Bescheid, bei dem man auf Fristen achten muß.
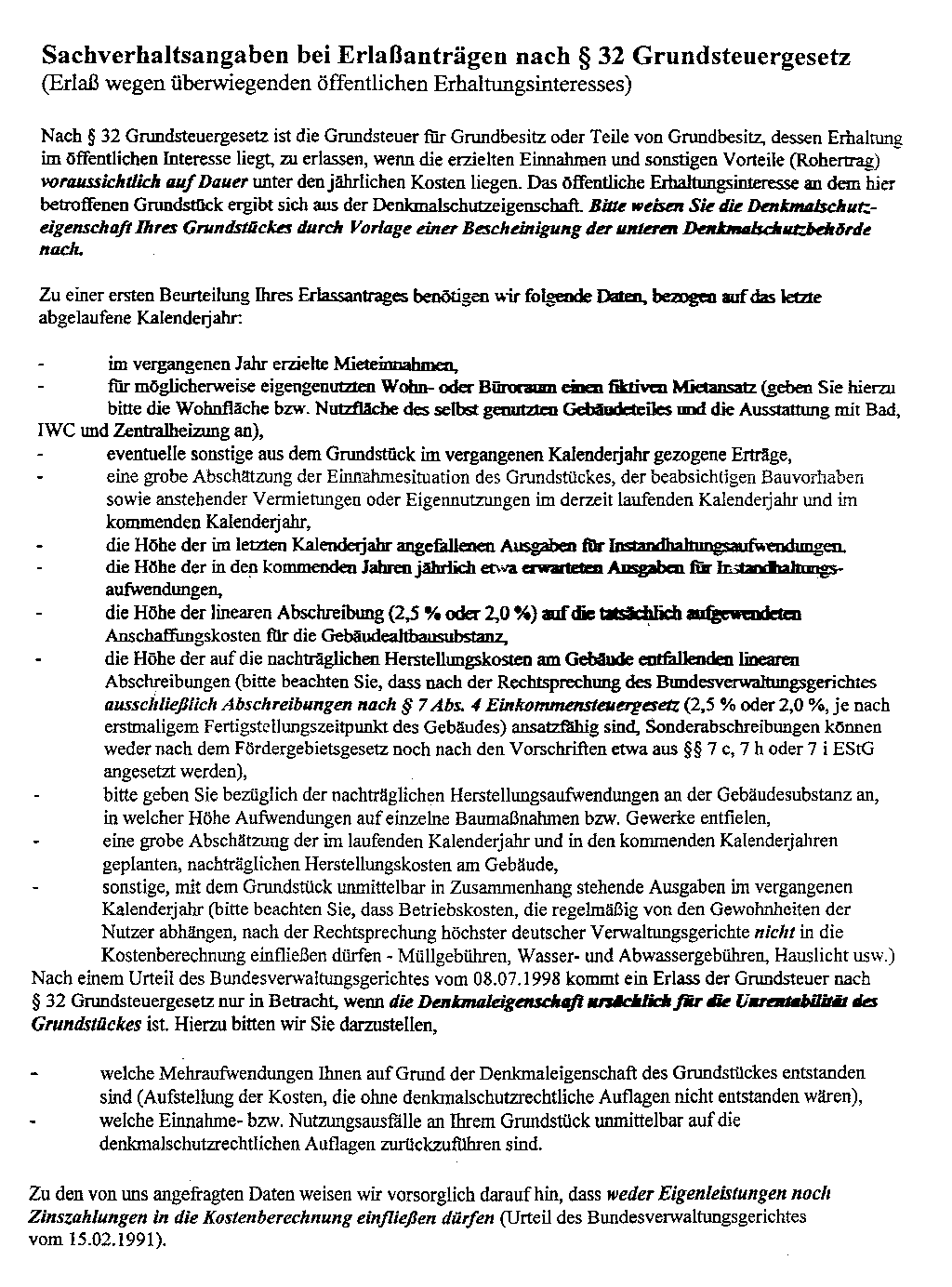
Zum Aspekt der Betriebskosten.
Die Steuerrichtlinien sind an dieser Stelle sehr eindeutig (s. dazu auch S. 17 unseres Leitfadens):
"Zu den Kosten gehören alle im Zusammenhang mit dem Grundbesitz stehenden Verwaltungs- und Betriebsausgaben. Nicht dazu gehören die Tilgungsleistungen und die Verzinsung des Eigenkapitals. Bei Gebäuden können auch Abschreibungen und Rückstellungen für größere Reparaturen berücksichtigt werden."
Die Hinweise auf verbraucher-abhängige Kosten bei den Betriebsausgaben werden m.E. von der Rechtsprechung - auch in Nachbargebieten (z.B. Miet- und Sozialrecht) - nicht gedeckt, und sind an dieser Stelle wohl eher Drohgebärde der Behörden, um Antragsteller von einem Widerspruch abzuhalten.
Wenn z.B. die Denkmalbehörde bestimmte Fenster verlangt, die höhere Wärmeverluste haben, können die zwangsläufig höheren Energiekosten nicht als verbrauche-rabhängige Kosten betrachtet werden. Diese (rechtswidrige) Argumentation ist aber ein beliebter Trick der "einnehmenden Kamarilla".
Den bisherigen Beiträgen entnehme ich weiter, daß ggf. die zuständige Behörde nur den lapidaren Hinweis zum Kommentar des § 32 angebracht hat. Diese lapidaren Hinweise wären in einem offiziellen Bescheid m.E. rechtswidrig.
Das erst mal auf die Schnelle - ich glaube, da kommt noch mehr Zündstoff
